Conception d'Algorithmes en Temps Réel
Aperçu des sections
-
-
Introduction au langage de programmation C++
-
Exemples d'entrainement (niveau 0)
-
Exemples d'entrainement (niveau 1)
-
Script Gnuplot pour le post-traitement de la fonction rand en C++.

-
-
-
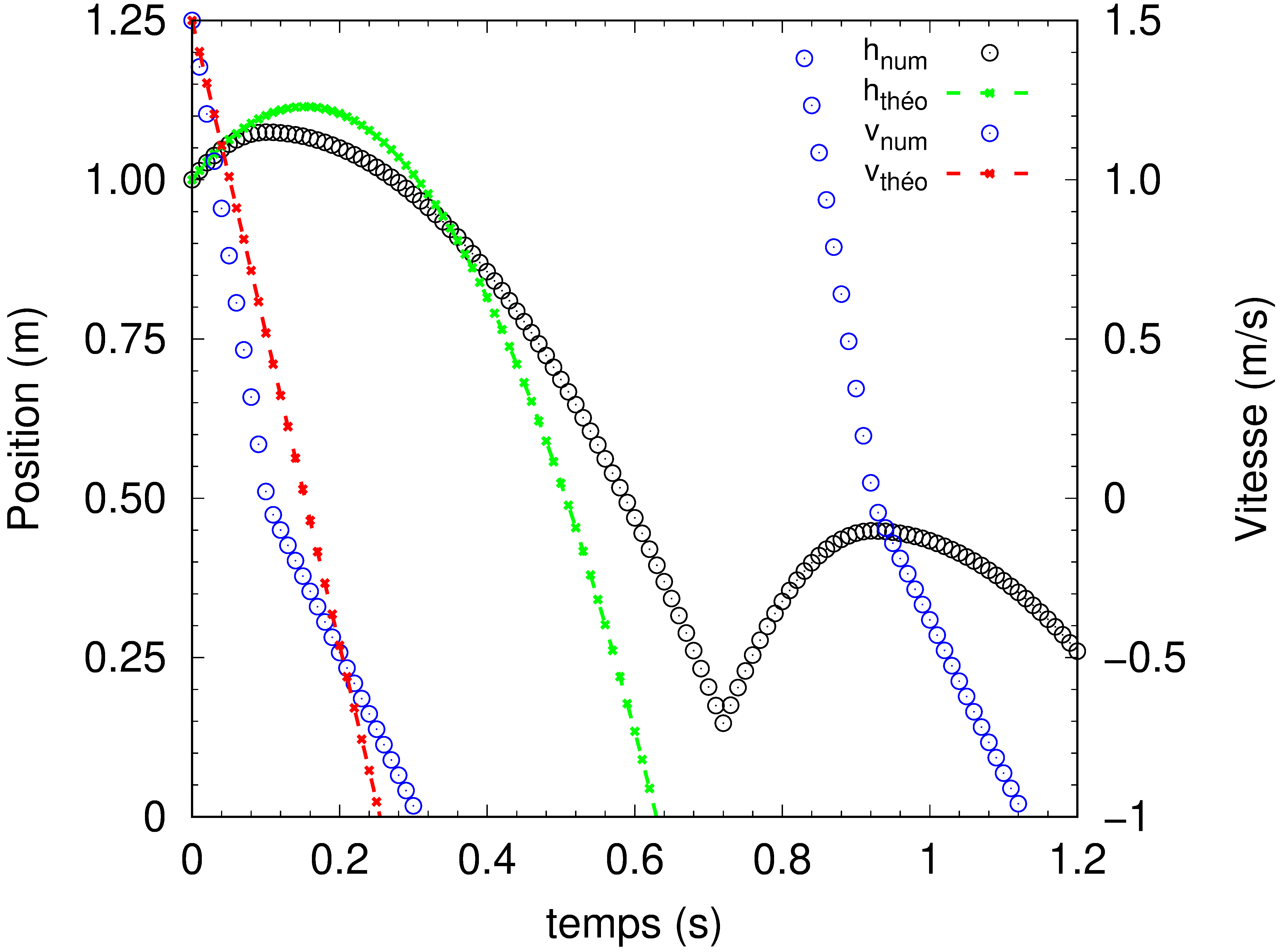
Modélisation du principe fondamental de la dynamique (2e loi de Newton). Étude de la chute libre et de la détection de contact particule/paroi horizontale.
-
Mise en œuvre de la deuxième loi de Newton : résolution des équations de la dynamique, conditions initiales, force de frottement, force de contact, schéma d'intégration (Verlet vitesses), ...
-
-
6.4 Ko Fichier texte Déposé le 15 juil. 25, 17:36

-
9.4 Ko Fichier texte Déposé le 15 juil. 25, 17:36

-
2.6 Mo Document PDF Déposé le 2 oct. 25, 21:01
Présentation de la modélisation par la méthode des éléments discrets de la 2e loi de Newton et du transfert thermique par conductance d'une particule sphérique en contact avec une paroi chauffante.
-
Dans ce TP il s'agit d'étudier les transferts thermiques par conductance (contact particule/paroi chaude) et par conduction (particule/air chaud). La modélisation est basée à la fois sur le résolution de la 2e loi de Newton (résolution mécanique) et la loi de Fourrier (résolution thermique).
-
Programme source en C++ pour la modélisation du contact et transfert thermique par conductance particule/paroi
-
Programme source en C++ pour la modélisation du contact et transfert thermique par conductance dans une chaîne de billes
-
9.1 Ko Fichier texte Déposé le 3 oct. 25, 17:40
Programme source en C++ pour la modélisation du contact et transfert thermique par conductance dans une chaîne de billes (chauffage de la chaîne à partir de la dernière bille - 11e bille).

-
6.3 Ko Fichier texte Déposé le 15 juil. 25, 17:36
Script de génération de l'animation de la chute d'une particule et du transfert thermique.

-
Script pour post-traiter les résultats de la modélisation du transfert thermique particule/paroi.

-
-
-
Ouvert le : vendredi 3 octobre 2025, 17:30À rendre : dimanche 2 novembre 2025, 23:59
CR à rendre au plus tard le 02/11/2025
Le CR doit au minimum aborder les points suivants:
1 - Génération deS PARTICULES ET CHAINE DE BILLES,
2 - RÉSOLUTION DU PRINCIPE FONDAMENTAL DE LA DYNAMIQUE,
3 - Vérification de quelques indicateurs (force de réaction, énergie cinétique, ...),
4 - Implémentation de la routine (subroutine) Thermique ET COUPLAGE MECANIQUE-THERMIQUE,
5 - Mise en œuvre de la routine Thermique (visualisation via gnuplot)
6 - Étude paramétrique :
- FORCE DE COMPRESSION,
- PROPRIÉTÉS THERMIQUE (conductivité thermiques),
- gradient de température,
7 - Rédaction d'un compte rendu (contexte de l'étude, près-process, process, post-process, conclusion).
NB : bien expliquer le contexte du la modélisation par éléments discrets. faire une analyse physique argumentée des résultats. conclure sur l’intérêt scientifique et/ou pratique (industriel/recherche) de ce type de modélisation.
-
CR TP Enguerrand VERKEST DevoirOuvert le : vendredi 30 janvier 2026, 08:30À rendre : samedi 31 janvier 2026, 23:59
CR TP Conception d'Algorithmes en Temps Réel (Autorisation exceptionnelle)
-